Campo eléctrico
El campo eléctrico es un sector espacial que ha sido modificado por la carga eléctrica que, al ser introducida en el mismo, genera una determinada respuesta o reacción.
En otras palabras, en el campo eléctrico se describe la interacción que existe entre los cuerpos con carga eléctrica, la cual se comprende como el nivel de electricidad que contienen los cuerpos.
Esta interacción puede manifestarse por la atracción o la repulsión entre los cuerpos, dependiendo de la carga que posean.

Todas las partículas que constituyen la materia tienen como una propiedad fundamental una determinada carga eléctrica, de lo que se origina el campo eléctrico. Las cargas eléctricas pueden ser positivas (+) o negativas (-). Dos objetos de la misma carga se repelen, mientras que los de carga diferente se atraen.
El campo eléctrico se expresa en líneas imaginarias que llamamos vectores. Estos permiten darnos una idea de la intensidad y orientación del campo eléctrico.
El campo eléctrico se trata de una magnitud vectorial, de un vector, y no de una fuerza, aun cuando se relaciona íntimamente con la fuerza eléctrica.
Unidades del campo eléctrico
La unidad elemental del campo eléctrico es en el Sistema Internacional (SI) es Newton por Culombio (N/C). En ocasiones, también se expresa mediante la unidad de voltio por metro (V/m).
Por último, se puede representar en unidades básicas como kg·m·s−3·A−1 o (kg·m)/(s3·A).
Vea también: Campo magnético y Electromagnetismo.
Líneas de campo eléctrico

Se refiere al trazado de líneas imaginarias cuya función es representar el campo eléctrico mediante la expresión de su intensidad y orientación.
Estas líneas se caracterizan por partir de las cargas positivas hacia las negativas sin cruzarse jamás. Asimismo, el vector campo eléctrico E es tangente respecto de la línea de campo y se orienta en la misma dirección.
Intensidad de campo eléctrico
La intensidad de campo eléctrico, simplificada comúnmente a la expresión campo eléctrico, se refiere al grado de fuerza que se ejerce sobre la unidad de carga positiva en un determinado punto.
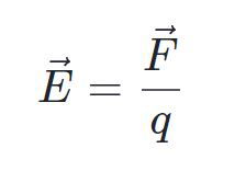
La fórmula para calcular la intensidad del campo eléctrico es la siguiente:

En esa fórmula, las flechas representan los vectores. Entre tanto, las letras representan los siguientes conceptos:
- E: campo eléctrico.
- F: fuerza eléctrica.
- q: carga eléctrica.
Vea también: Electricidad y Ley de Coulomb.
Cómo citar: Significados, Equipo (24/04/2025). "Campo eléctrico". En: Significados.com. Disponible en: https://www.significados.com/campo-electrico/ Consultado:









